Introducción
En la amplia cirugía mayor del retropié existen múltiples combinaciones de montajes de osteosíntesis, para las cuales se necesita crear una entrada en el talón. Concretamente, en algunas de las zonas de la tuberosidad posterior del calcáneo se precisa la introducción de tornillos, ya sean canulados o de bloqueo de clavos. Una de sus complicaciones más habituales es el dolor residual que permanece en el punto de inserción en el talón(1,2,3).
En estos pacientes intervenidos del retropié hemos observado que en los primeros meses del postoperatorio existía dolor en la zona de la tuberosidad posterior del calcáneo. Sobre todo, en aquellas localizaciones de entrada de tornillos más mediales y plantares.
Este tipo de implantes tiene de forma inherente un porcentaje no despreciable de dolor en el punto de inserción, que requiere en ciertas ocasiones la extracción del material de osteosíntesis (EMO) por ello(2,4).
Hay múltiples estudios en la literatura actual que documentan esta realidad(3). Nuestro objetivo es describir la relación del dolor postoperatorio del punto de entrada con respecto al tipo y al tamaño del tornillo y su localización.
Material y métodos
Realizamos un estudio observacional retrospectivo de pacientes intervenidos quirúrgicamente donde se hubiera insertado algún tornillo a través de la tuberosidad posterior del calcáneo entre enero de 2008 y diciembre de 2017 intervenidos en el Complejo Hospitalario Universitario de Badajoz (hospital universitario público de tercer nivel) con un mínimo seguimiento de 2 años.
Se seleccionaron 153 pacientes sometidos a cirugía de artrodesis del tobillo, osteotomía del calcáneo y artrodesis subtalar que precisaron la utilización de al menos un tornillo en la tuberosidad posterior del calcáneo. Se excluyeron pacientes con enfermedad reumática, diabetes mellitus mal controlada, grandes fumadores, fijación de fracturas del calcáneo y aquellos que no tuvieron un seguimiento mínimo de 2 años (Figura 1). Durante el seguimiento hubo 2 exitus debido a otra patología y 19 pacientes continuaron la evolución de la cirugía en otro centro, no pudiendo determinar sus resultados, por lo que se obtuvieron un total de 91 casos.
Figura 1. Selección de casos.

Se recogieron los datos epidemiológicos, así como la indicación quirúrgica y el tratamiento posterior, las complicaciones posquirúrgicas, incluyendo si hubo retirada del implante, entre otras.
Como variables del estudio, utilizamos: la localización del punto de entrada del tornillo, la protrusión en milímetros de la cabeza del tornillo sobre la cortical externa del calcáneo, la distancia tornillo-piel inferior y posterior, el tipo y el diámetro del implante, el tipo de procedimiento quirúrgico, la escala visual analógica (EVA) del dolor a los 3 y 6 meses postoperatorios y el tratamiento específico recibido por dolor en el punto de entrada.
Para determinar la localización del punto de entrada hemos creado un mapa o rejilla sobre la visión posterior del talón, dividiéndolo en 9 partes (Figura 2), que hemos aplicado para la toma de datos. De esta manera, el número 1 sería el punto más proximal y lateral mientras que el número 9 sería el más distal y medial.
Figura 2. Mapa o rejilla sobre la visión posterior del calcáneo: las líneas longitudinales se corresponden con los bordes medial y lateral de la inserción del tendón de Aquiles. La línea horizontal superior se corresponde con el límite inferior de la inserción del tendón de Aquiles y la línea horizontal inferior con la interfase de piel plantar y del talón.

Se realizó una radiografía lateral en carga a todos los pacientes a los 3 meses de la cirugía y se midieron una serie de parámetros radiológicos. Para ello, utilizamos de referencia 2 líneas ortogonales entre sí que se encuentran en la tuberosidad posterior del calcáneo en una radiografía lateral en carga: una paralela al suelo que pasa por el punto más inferior de la tuberosidad del calcáneo o la cabeza del metatarsiano más descendido; y otra línea perpendicular a esta, tangente a la parte más posterior de la tuberosidad (Figura 3). Sobre estas líneas se midieron las siguientes variables que representan el almohadillado (distancia tornillo-piel) inferior (A), posterior (B) y el nivel de protrusión del material, si lo hubiera. Los niveles negativos se tomaron como 0.
Figura 3. Radiografía lateral en carga.

Se pasó un cuestionario EVA de dolor postoperatorio en consulta a los 3 y a los 6 meses en una escala del 1 al 10. A aquellos pacientes a quienes no se pudo pasar el cuestionario, se les realizó telefónicamente.
Los resultados obtenidos fueron almacenados en una base de datos y se analizaron con el software SPSS 19 (Statistical Package for the Social Sciences de IBM). Todas las variables fueron descritas usando la media y los porcentajes. Para el análisis estadístico de los datos se han agrupado en conjuntos de 3 casillas, obteniendo los grupos superior-central-inferior y los grupos lateral-central-medial. Sobre estos grupos, se realizaron pruebas de normalidad. Se ha realizado un análisis estadístico descriptivo mediante las pruebas no paramétricas de Mann-Whitney, Wilcoxon y Kruskal-Wallis, tras comprobar la normalidad de la distribución. Se consideraron significativos los valores de p < 0,05, con un intervalo de confianza del 95%. Además, se utilizaron diagramas de cajas e histogramas para describir la asociación de la posición de entrada de los implantes con el dolor posquirúrgico según la EVA a los 3 y 6 meses.
Resultados
Durante el periodo de estudio fueron intervenidos quirúrgicamente 153 pacientes con introducción de tornillos a través de la tuberosidad posterior del calcáneo, de los cuales 91 pacientes tuvieron seguimiento y cumplieron los criterios de inclusión. Del total, 40 (44%) fueron de sexo masculino y 51 (56%) de sexo femenino, con una media de edad de 51,3 años (22-80 años).
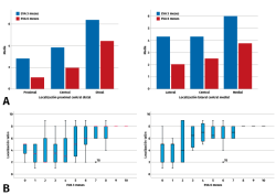
Figura 4. A: diagrama de barras con la escala visual analógica (EVA) a los 3 y 6 meses según la localización por grupos lateral-central-medial y proximal-central-distal; B: diagrama de cajas con la EVA a los 3 y 6 meses según la localización del implante en el mapa o rejilla.

Los pacientes presentaban las siguientes patologías: pie plano valgo (42; 46,2%), pie cavo-varo (28; 30,8%), artrosis subtalar (18; 19,8%) y artrosis pantalar (3; 3,3%), que precisaron distintas intervenciones quirúrgicas, como fueron osteotomía de medialización del calcáneo (25; 27,5%), osteotomía de Dwyer (21; 23,1%), artrodesis subtalar (35; 38,5%) y artrodesis tibiotalocalcánea (10; 11%). La mayoría de los tornillos implantados fueron sin cabeza (61 tornillos, 67%) y de diámetros mayores (60 tornillos de 6,5 mm, 65,9%; y 18 de 7,3 mm, 19,8%), por lo que no se pudieron obtener diferencias estadísticamente significativas en la comparación con tornillos con cabeza o con diámetros pequeños. En los casos en los que se implantaron 2 tornillos, utilizamos el tornillo inferior para medir el almohadillado inferior y el tornillo superior para medir el almohadillado posterior.
Tabla 1. Estadísticos descriptivos

Según la posición de los tornillos en el mapa o rejilla sobre el talón, se les otorgó un número del 1 al 9 para localizarlos. Se agruparon estos números en filas (de proximal a plantar) y columnas (de lateral a medial).
Al procesar los datos obtenidos del mapa o rejilla del punto de inserción de los tornillos, obtenemos valores según la EVA a los 3 y 6 meses superiores para aquellos tornillos con localización más medial y plantar (reflejados en la rejilla con los números 6, 7, 8 y 9). Para realizar el estudio, se reagruparon los datos según su localización topográfica, de proximal a distal y de medial a lateral. Estos resultados son estadísticamente significativos (p < 0,05 en los grupos “lateral-central” y “medial”; y p < 0,001 en los grupos “proximal”, “central” y “plantar”) con las pruebas no paramétricas de Wilcoxon y Kruskal-Wallis, respectivamente (Figura 4 y Tabla 1). Según la localización “lateral”, “central” y “medial” se obtienen resultados válidos, pero sin significación estadística (p = 0,6).
En cuanto a los tratamientos necesitados en aquellos pacientes con dolor persistente en el punto de entrada, observamos también que es mucho más frecuente en puntuaciones más altas de la rejilla, es decir, en localizaciones plantares y mediales. Existe una tendencia a aumentar el promedio en valores mediales, pero sin significación estadística.
Figura 5. Diagrama de cajas del tratamiento requerido según la posición del implante en el mapa o rejilla.

Los tratamientos utilizados han sido infiltración local con anestésico y corticoides, parche con lidocaína, ortesis plantares e intervención quirúrgica realizando EMO. En localizaciones centrales y laterales, siendo estas las zonas donde hay una mayor cantidad de pacientes, estos no han necesitado ningún tratamiento (Figura 5).
Discusión
La osteotomía de calcáneo es uno de los procedimientos quirúrgicos más frecuentemente utilizados para restaurar la alineación del retropié, cuando nos enfrentamos a una corrección mayor. En los casos en los que existe afectación articular irreversible, realizar una artrodesis de parte o la totalidad de la articulación del tobillo y subastragalina permite mejorar de forma sustancial la calidad de vida de los pacientes. Ambos tipos de cirugía suelen utilizar de forma muy frecuente la entrada de algún tipo de material (tornillo, perno…) a través de la tuberosidad posterior del calcáneo. Este gesto quirúrgico tiene un fundamento biomecánico claro y evidente. Utilizar el hueso mayor de la economía del pie-tobillo, el calcáneo, proporciona un brazo de palanca y soporte excelente para dar estabilidad y rigidez al constructo de una artrodesis. Y modificar el centro de carga, el eje del punto de apoyo en el primer rocker de la marcha, otorga una potencia fundamental en la corrección de grandes desaxaciones. Pero como cualquier gesto quirúrgico, nada es gratuito. Y a pesar de estos resultados favorables con estas técnicas, no están exentas de complicaciones, como es el dolor residual en el retropié en los puntos de entrada del material. Este dolor, en un porcentaje no despreciable, requiere de algún tipo de tratamiento o incluso de una segunda cirugía para la retirada de este material de osteosíntesis(1,5,6).
Hay multitud de publicaciones en las cuales se aborda el dolor persistente en el talón, en la tuberosidad posterior del calcáneo tras osteotomía del calcáneo, donde comparan la retirada de los implantes con respecto a las características de estos. Esta segunda cirugía para la extracción de los implantes genera un coste mayor, así como una baja laboral más larga, con mayor pérdida económica(1,4,5,6,7,8). Se ha observado que hay mayor tasa de retirada en los implantes de mayor tamaño (6,5 mm o superior) en comparación con los de menor tamaño(1,6,7), por lo que se recomienda la utilización de tornillos de 4,5 mm frente a implantes de mayor calibre(6,7).
Abbasian et al.(2) realizaron un estudio donde compararon 3 métodos de fijación distintos para osteotomía del calcáneo: placa lateral, tornillo con cabeza y tornillo a compresión sin cabeza. Observaron que la tasa de retirada de los tornillos en osteotomías del calcáneo era significativamente inferior en aquellos pacientes a quienes se les implantaron tornillos sin cabeza o placas bloqueadas en comparación con aquellos con tornillos con cabeza. En todos ellos la tasa de consolidación era similar, pero en los pacientes con placa tenían mayor problema de partes blandas(2). Lucas et al.(4) compararon la tasa de retirada en los tornillos con cabeza frente a placa, siendo menor en osteotomías fijadas con placas bloqueadas. Refieren que la limitación de su estudio está en no tener suficientes casos con tornillos a compresión sin cabeza(4). SahraNavard et al.(8) observaron en su estudio que el número de tornillos (1 vs. 2) usados para la fijación de la osteotomía del calcáneo no tiene diferencias estadísticamente significativas, pero sí observaron que el uso de tornillos sin cabeza estaba asociado con una menor incidencia de dolor y, en consecuencia, de la extracción quirúrgica del implante. El número de tornillos utilizados no parece que afecte a la tasa de consolidación de la osteotomía, que es similarmente alta en todas las series(2,8). Kunzler et al.(5) también observaron posteriormente que la tasa de retirada de los implantes era significativamente menor en tornillos sin cabeza que con cabeza.
Existen otras publicaciones en las que proponen que la causa del dolor esté relacionada con la posición de los implantes o de la osteotomía. Wills(3) comprobó si existía relación entre la localización de la osteotomía del calcáneo y las complicaciones de esta. Para ello, utilizó la “zona segura” descrita por Talusan(9), que es el área que, en una radiografía lateral de tobillo, se extiende 11,2 mm anterior desde una línea que conecta el límite posterosuperior de la tuberosidad posterior del calcáneo con el origen de la fascia plantar. Como resultado, obtuvo que no existía correlación entre las osteotomías realizadas en torno a la “zona segura” del calcáneo y las complicaciones neurológicas posteriores(9). Abbasian et al.(2) utilizaron un método para clasificar la posición de los tornillos en una radiografía lateral de tobillo por cuadrantes (screw entry quarters –SEQ–). Observaron que no existía correlación entre la posición del SEQ y la necesidad de retirada de los implantes(2). Ambos autores fueron los primeros en situar, aunque en un solo plano de visión, zonas o áreas donde la entrada de material tenía una menor probabilidad de provocar morbilidad ulterior.
En el presente estudio, hemos propuesto que la retirada de los tornillos en osteotomías del calcáneo por dolor o la necesidad de tratamiento posterior por dolor tienen relación con la localización anatómica del punto de entrada de los tornillos. Hemos propuesto un mapa o rejilla con 9 casillas sobre la visión posterior del talón para clasificar el punto de entrada de los tornillos. En la búsqueda bibliográfica realizada no se han encontrado referencias con este supuesto.
Nuestra serie con 91 casos, que clasifica el punto de inserción de los tornillos en osteotomías del calcáneo, es la primera en su estilo. Comparamos en ella la posición de los tornillos con la EVA y la necesidad de tratamiento posterior. Observamos que el dolor medido con la EVA a los 3 y 6 meses es mayor para tornillos localizados más mediales y plantares con significación estadística. Además, observamos una mayor tendencia en la necesidad de tratamiento posterior por dolor en aquellos pacientes con tornillos con puntuaciones más altas de la rejilla (más plantares y mediales), pero sin significación estadística. No hemos obtenido diferencias estadísticamente significativas con el diámetro de los tornillos ni si eran tornillos con o sin cabeza. Esto nos sugiere que los tornillos posicionados en la rejilla en las zonas más plantares y más mediales van a producir mucho más dolor y requerirán más tratamiento posterior, incluyendo incluso en algunos casos una segunda cirugía para retirada de los implantes (5,49% de casos).
Existen publicaciones, como la de De Prado y del anatomista profesor Golanó(10), en las que se explica de forma muy detallada la rica inervación de la cara medial de la tuberosidad posterior del calcáneo. Esto podría ser una justificación anatómica para el dolor en el flanco más medial de entrada de los tornillos(10).
Además, es conocido que la tuberosidad posterior del calcáneo no tiene la misma cobertura grasa que el resto del pie. Se diferencia claramente un órgano entésico plantar con una gran capacidad de amortiguación, de una débil cara posterocraneal, donde no es infrecuente tener problemas de cobertura si no se tratan de forma correcta las partes blandas. Esto podría también explicar que los puntos de entrada muy plantares para estos tornillos podrían dañar esa zona plantar, ese órgano no bien definido aún y que tiene una clara función de soporte elástico del peso del cuerpo(11).
Las limitaciones de este estudio incluyen las características de un estudio observacional retrospectivo, la diferencia del número de casos en los distintos grupos, del tipo y el tamaño del tornillo, y de la localización. Además, la medición de la protrusión de los tornillos sería más fiable por tomografía computarizada. Una limitación adicional ha sido que varios pacientes continuaron el seguimiento en otro centro, no pudiendo determinar su evolución.
Conclusiones
La inserción de tornillos canulados a través de la tuberosidad posterior del calcáneo no es un procedimiento exento de morbilidad. De esta, el dolor es la causa más frecuente de necesidad de tratamiento y retirada de los implantes, con el consiguiente gasto de una segunda cirugía. La literatura actual orienta a utilizar tornillos sin cabeza y con diámetros pequeños.
Según nuestro conocimiento, este es el primer estudio realizado donde se compara el dolor residual que producen los tornillos tras una osteotomía del calcáneo con el punto de entrada en una rejilla o mapa con 9 cuadrantes sobre la visión posterior del talón.
En nuestro estudio hemos observado que los tornillos utilizados para osteotomías del calcáneo implantados en localizaciones más plantares y/o mediales en una visión posterior producen más dolor y, en consecuencia, mayor riesgo de retirada del implante. Por lo tanto, se recomienda intensamente evitar puntos plantares y mediales, en la inserción del material de osteosíntesis.